Starter Content Analysis
2 Days
1 Day (...)
- 1
- 100
- +
- +
- 1
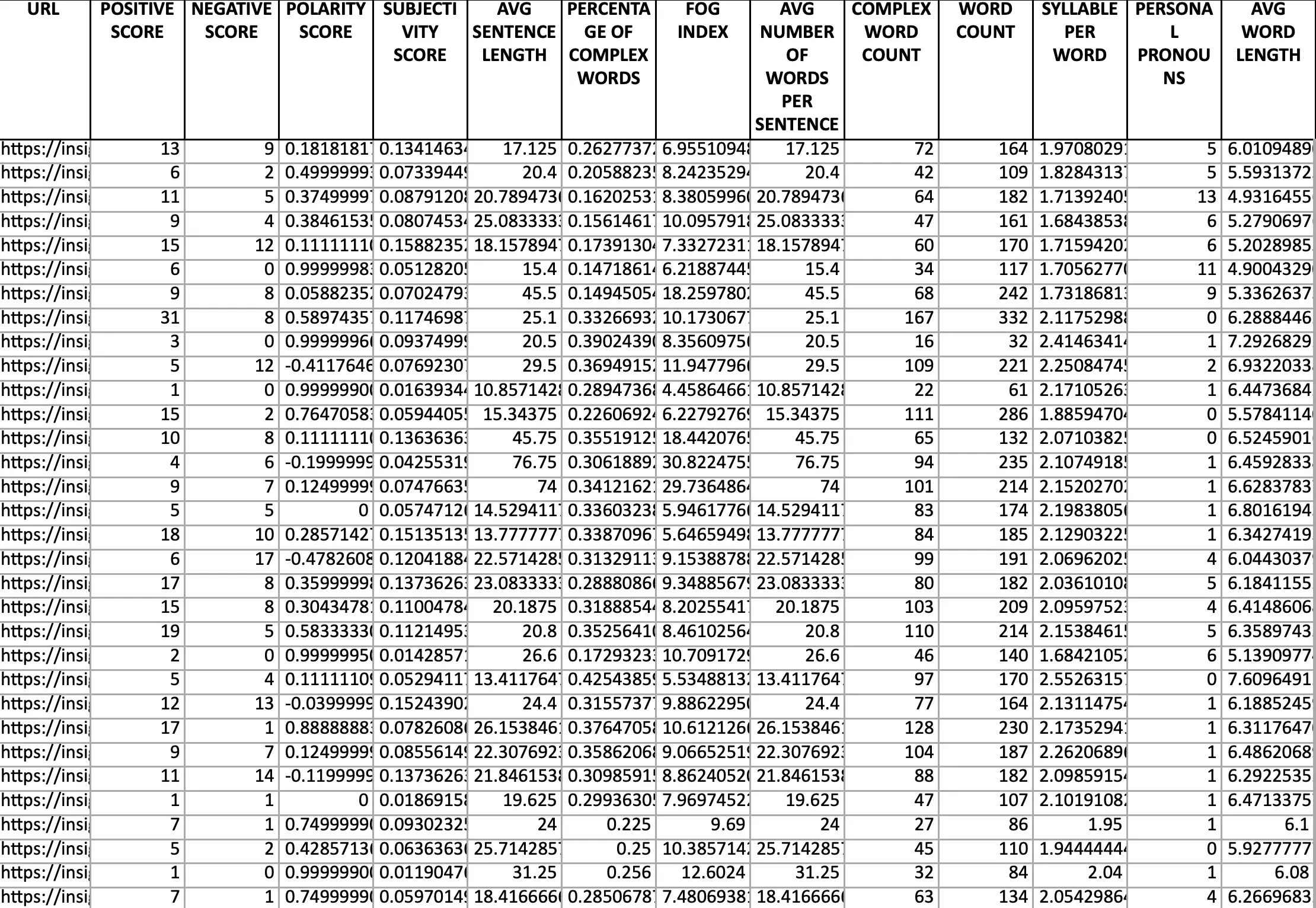
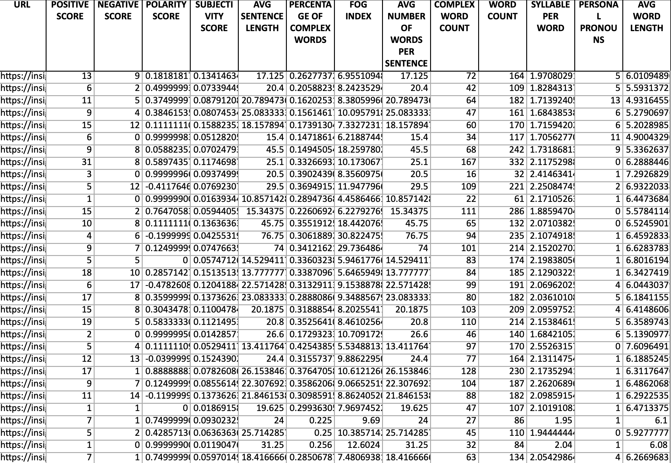
Scrape and analyze up to 30 URLs with NLP metrics and Excel dataset.
I can extract structured data from most public websites such as directories, blogs, e-commerce platforms, research pages, and listing websites. If the website structure is complex or protected by strong anti-bot systems, I will review it first and confirm feasibility before starting.

I help businesses turn messy or scattered data into clear, usable insights. My work includes web scraping, data cleaning, exploratory analysis, and building dashboards that support better decisions. From collecting website data to organizing datasets and delivering structured reports, I focus on accurate, reliable solutions that save time and reveal meaningful patterns.
I help businesses turn messy or scattered data into clear, usable insights. My work includes web scraping, data cleaning, exploratory analysis, and building dashboards that support better decisions. From collecting website data to organizing datasets and delivering structured reports, I focus on accurate, reliable solutions that save time and reveal meaningful patterns.

Terms and conditions apply